Skip to content Skip to sidebar Skip to footer

Widget HTML #1

How To Find Osmotic Pressure - We calculate the osmotic pressure, (pi), using the following equation:

How To Find Osmotic Pressure - We calculate the osmotic pressure, (pi), using the following equation:. Determining the van 't hoff factor. Π = imrt (note how it resembles the pv = nrt form of the ideal gas law) where π is the osmotic pressure in atm The osmotic pressure of a solution is proportional to the molar concentration of the solute particles in solution. Osmotic pressure is a colligative substance property because it depends on the concentration of the solute but not its chemical nature. May 10, 2019 · step 1:

Therefore, the osmotic pressure of the solution is: Osmotic pressure is a colligative property of a substance since it depends on the concentration of the solute and not its chemical nature. O = n * ce * c * r * t where o is the osmotic pressure (pascals) c is the concentration mol/l The osmotic pressure of the 1m salt solution is 49.26 atmospheres at a temperature of 27 o c. Calculating the osmotic pressure formula chemistry is done using, π =imrt step 1:

3- Solutions & It's Colligative Properties(Physical Pharmacy)
3- Solutions & It's Colligative Properties(Physical Pharmacy) from image.slidesharecdn.com
Π = n * φ * c * r * t Therefore, the osmotic pressure of the solution is: Calculating the osmotic pressure formula chemistry is done using, π =imrt step 1: The following equation is used to calculate and osmotic pressure. Π = imrt (note how it resembles the pv = nrt form of the ideal gas law) where π is the osmotic pressure in atm Osmotic pressure is a colligative property of a substance since it depends on the concentration of the solute and not its chemical nature. May 21, 2020 · osmotic pressure equation if you want to calculate the osmotic pressure, you need to use the osmotic pressure formula in the form: Aug 20, 2018 · osmotic pressure is the pressure that stops the process of osmosis.

Π = n * φ * c * r * t

Osmotic pressure is a colligative substance property because it depends on the concentration of the solute but not its chemical nature. We calculate the osmotic pressure, (pi), using the following equation: O = n * ce * c * r * t where o is the osmotic pressure (pascals) c is the concentration mol/l Leading in osmometry since more than 35 years! The osmotic pressure of a potassium chloride solution (at 300k) is 50 atmospheres. What is the role of osmotic pressure in the body? Mar 19, 2021 · the osmotic pressure of a solution is the pressure difference needed to stop the flow of solvent across a semipermeable membrane. Therefore, the osmotic pressure of the solution is: M is the molar concentration of dissolved species (units of mol/l). May 21, 2020 · osmotic pressure equation if you want to calculate the osmotic pressure, you need to use the osmotic pressure formula in the form: Π = n * φ * c * r * t What is used to measure the osmotic potential? The osmotic pressure of a solution is proportional to the molar concentration of the solute particles in solution.

Π = imrt (note how it resembles the pv = nrt form of the ideal gas law) where π is the osmotic pressure in atm We need to know the molar concentration of dissolved species in order to calculate the osmotic pressure of an aqueous solution. The osmotic pressure of the 1m salt solution is 49.26 atmospheres at a temperature of 27 o c. The osmotic pressure of a solution is proportional to the molar concentration of the solute particles in solution. What is used to measure the osmotic potential?

Solved: Determine Osmotic Pressure Question Which Of The F ...
Solved: Determine Osmotic Pressure Question Which Of The F ... from media.cheggcdn.com
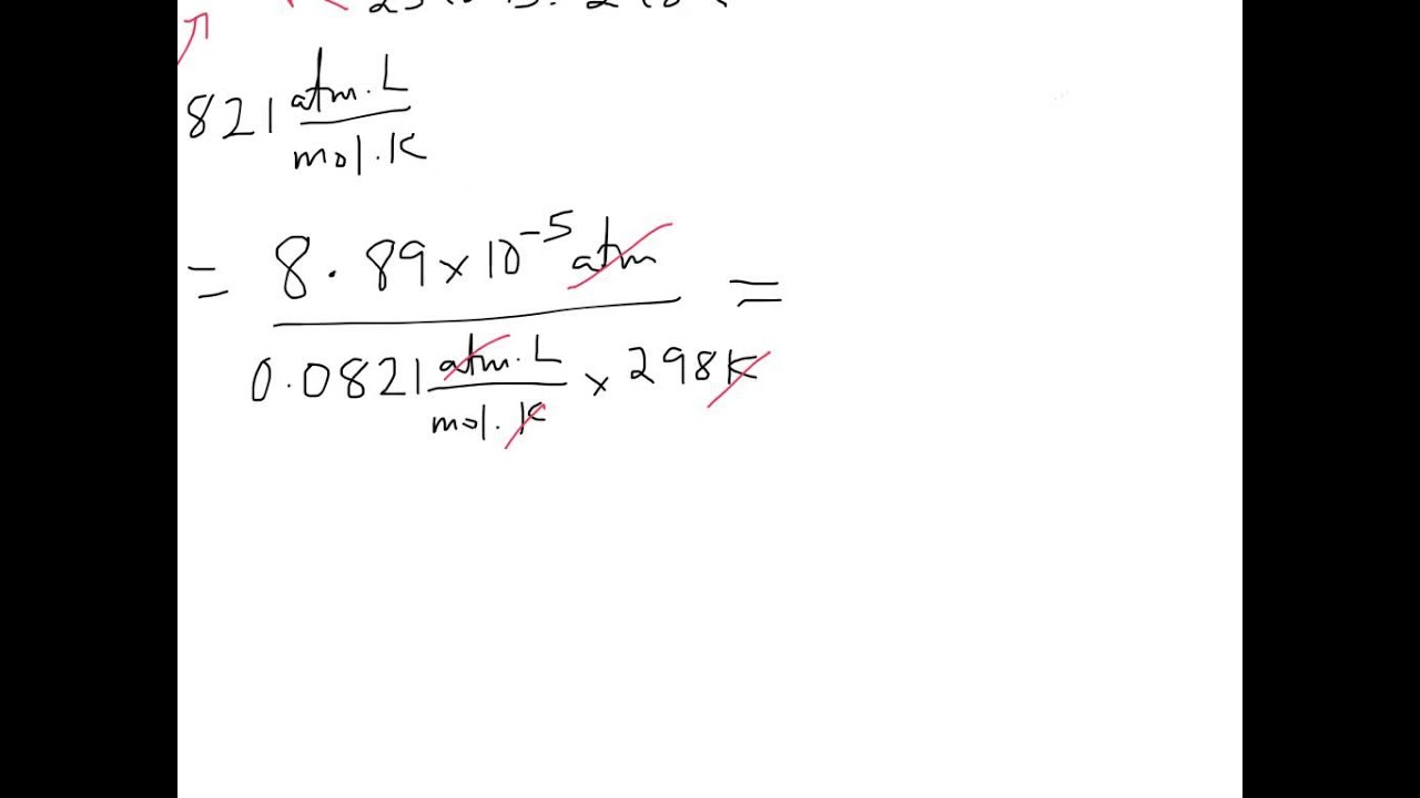
The osmotic pressure of a solution is proportional to the molar concentration of the solute particles in solution. We need to know the molar concentration of dissolved species in order to calculate the osmotic pressure of an aqueous solution. O = n * ce * c * r * t where o is the osmotic pressure (pascals) c is the concentration mol/l What is used to measure the osmotic potential? Osmotic pressure is expressed by the formula: Leading in osmometry since more than 35 years! Π = imrt m = π/irt m = 7.65 atm/ (1) (0.08206. We calculate the osmotic pressure, (pi), using the following equation:

The osmotic pressure of the 1m salt solution is 49.26 atmospheres at a temperature of 27 o c.

Osmotic pressure is expressed by the formula: Determine the van 't hoff factor. Aug 20, 2018 · osmotic pressure is the pressure that stops the process of osmosis. Can osmotic pressure go from low to high? The osmotic pressure of a solution is proportional to the molar concentration of the solute particles in solution. The osmotic pressure of the 1m salt solution is 49.26 atmospheres at a temperature of 27 o c. The osmotic pressure of a potassium chloride solution (at 300k) is 50 atmospheres. M is the molar concentration of dissolved species (units of mol/l). (1) π = i n v r t = i m r t Therefore, the osmotic pressure of the solution is: Π = n * φ * c * r * t Calculating the osmotic pressure formula chemistry is done using, π =imrt step 1: We calculate the osmotic pressure, (pi), using the following equation:

May 10, 2019 · step 1: May 21, 2020 · osmotic pressure equation if you want to calculate the osmotic pressure, you need to use the osmotic pressure formula in the form: Π = imrt m = π/irt m = 7.65 atm/ (1) (0.08206. Π = n * φ * c * r * t Since glucose does not dissociate into ions in solution, the van 't hoff.

Osmotic pressure part -1 - YouTube
Osmotic pressure part -1 - YouTube from i.ytimg.com
Π = n * φ * c * r * t We calculate the osmotic pressure, (pi), using the following equation: Why is osmotic pressure a positive pressure? The osmotic pressure of the 1m salt solution is 49.26 atmospheres at a temperature of 27 o c. T = degrees celsius + 273 t = 37 + 273 t = 310 kelvin step 3: Calculating the osmotic pressure formula chemistry is done using, π =imrt step 1: May 21, 2020 · osmotic pressure equation if you want to calculate the osmotic pressure, you need to use the osmotic pressure formula in the form: Π = imrt (note how it resembles the pv = nrt form of the ideal gas law) where π is the osmotic pressure in atm

Aug 20, 2018 · osmotic pressure is the pressure that stops the process of osmosis.

May 10, 2019 · step 1: Leading in osmometry since more than 35 years! Determine the van 't hoff factor. May 21, 2020 · osmotic pressure equation if you want to calculate the osmotic pressure, you need to use the osmotic pressure formula in the form: The osmotic pressure of the 1m salt solution is 49.26 atmospheres at a temperature of 27 o c. Osmotic pressure is expressed by the formula: O = n * ce * c * r * t where o is the osmotic pressure (pascals) c is the concentration mol/l T = degrees celsius + 273 t = 37 + 273 t = 310 kelvin step 3: Mar 19, 2021 · the osmotic pressure of a solution is the pressure difference needed to stop the flow of solvent across a semipermeable membrane. We need to know the molar concentration of dissolved species in order to calculate the osmotic pressure of an aqueous solution. The osmotic pressure of a potassium chloride solution (at 300k) is 50 atmospheres. Osmotic pressure is a colligative substance property because it depends on the concentration of the solute but not its chemical nature. Osmotic pressure is a colligative property of a substance since it depends on the concentration of the solute and not its chemical nature.